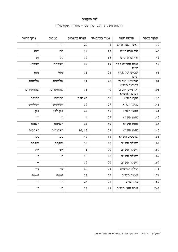
בית » דרשות משנות הזעם – דף תיקונים
באתר זה נעשה שימוש בקבצי COOKIES [עוגיות] לצורך שיפור חוויית המשתמש, ניתוח תנועה, התאמת תכנים והודעות ממוקדות. המשך גלישתך באתר מהווה הסכמה לשימוש זה בהתאם למדיניות הפרטיות
Websites store cookies to enhance functionality and personalise your experience. You can manage your preferences, but blocking some cookies may impact site performance and services.
Essential cookies enable basic functions and are necessary for the proper function of the website.